|
We know that a sequence is an ordered list (or function) whose domain consists of the set of positive integers, beginning with 1. A sequence may be finite, such as {2, 4, 6, 8, 10}, or it may be infinite, such as {2, 4, 6, 8, 10, ...}.
A series is the sum of the terms in a sequence.
The sum of the first n terms is called the nth partial sum and is denoted Sn.
While infinite series exist,
Algebra 2 will only deal with finite series. |
Sigma notation is used to denote summations in a compact format.
 |
This is the nth partial sum of the sequence an, written in sigma notation |
The choice of the "index" lettering is of no importance.
The letter used can be k (as shown above), i, j, m, or any letter of your choosing.

Arithmetic Series |
Summation |
|
This lesson will concentrate on series related to arithmetic sequences, called arithmetic series. We will be working with finite sums (the sum of a specific number of terms).
Arithmetic Series: Sn = a1 + (a1 + d) + (a1 + 2d) + (a1 + 3d) + ... + (a1 + (n - 1)d)
An arithmetic series is the adding together of the terms of an arithmetic sequence.

Formulas used with arithmetic sequences and arithmetic series:
To find any term
of an arithmetic sequence:

where a1 is the first term of the sequence,
d is the common difference,
n is the number of the term to find. |
Note: you may see a1 simply referred to as a.
This formula may also be written as
an = a1 + d (n - 1) |
To find the sum of a certain number of terms of an arithmetic sequence:

where Sn is the sum of n terms ( nth partial sum),
a1 is the first term, an is the nth term. |
Note: (a1 + an) / 2 is the mean (average) of the first and last terms. The sum can be thought of as the number of terms times the average of the first and last terms.
This formula may also appear as 
If the last term is unknown, this formula can be written as

where the formula on the left is used to replace an.
|
Click here to see "How these Formulas were Created". |

Let's take a look at a variety of examples working with arithmetic series.
Read the "Answers" carefully to find "hints" as to how to deal with these questions.

Questions:
|
Answers: |
| 1. Find the sum of the first 12 positive even integers.
Notice how
BOTH formulas
work together to arrive
at the answer. |
|
The word "sum" indicates the need for the series formula.
positive even integers: 2, 4, 6, 8, ...are an arithmetic sequence.
n = 12, a1 = 2, d = 2
We are missing a12, for the series formula, so we use the "find any term" formula to find it.

Now, we use this information to find the sum:
 |
2. Find the sum of the 10 terms of this arithmetic sequence {-8, -4, ..., 20, 24, 28}
|
Don't worry about the missing terms in the middle of this sequence..
n = 10, a1 = -8, a10 = 28
 |
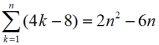
3. Find the sum:  |
Check to see if this is an arithmetic series by listing some of the terms. The common difference is 2.
a1 = 2(1) - 3 = -1
a2 = 2(2) - 3 = 1
a3 = 2(3) - 3 = 3
a4 = 2(4) - 3 =
5
a20 = 2(20) - 3 = 37
n = 20, a1 = -1, a20 = 37

|
| 4. How many terms of the arithmetic sequence {-1, 5, 11, 17, ...} must be added together for the sum of the series to be 319? |
In this problem, we will set the Sn = 319 and then solve for n. a1 = -1, d = 6
First, we need the formula an = a1 + d (n - 1) so we can represent the last term.
an = -1 + 6 (n - 1) = -1 + 6n - 6 = 6n - 7

n must be a positive integer, so n = 11.
As seen in this problem, you may need to apply other math skills, like the quadratic formula, to solve a sequence problem. |
5. Given the sequence {-4, 0, 4, 8, 12, ...}
Kyle thinks he has found a formula for the sum of n terms of this sequence which he claims is

Is this formula correct? Support your answer.
|
Organize your thinking.
 |
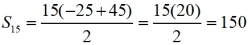
6. The last term of an arithmetic sequence is a15 = 45 and the common difference is 5.
Find the sum of the terms of this sequence. |
We need to use both formulas as we need to gather more information.
First, find a1.
an = a1 + (n - 1) d
45 = a1 + (15 - 1 ) 5
-25 = a1
Now, find the sum. |
7. A theater has 60 seats in the first row, 68 seats in the second row, 76 seats in the third row, and so on in the same increasing pattern. If the theater has 20 rows of seats, how many seats are in the theater? |
The seating pattern is forming an arithmetic sequence:
60, 68, 76, ...
We need to find the "sum" of all of the seats.
By observation: n = 20, a1 = 60, d = 8 and we need a20 for the sum.
Now, use the sum formula.
There are 2720 seats. |
|
How to use your graphing calculator for Sequences
and
Series
Click here. |
|
|
|
How to use
your graphing calculator for
working
with
sequences
Click here. |
|
|

NOTE: The re-posting of materials (in part or whole) from this site to the Internet
is copyright violation
and is not considered "fair use" for educators. Please read the "Terms of Use". |
|
|